6EMES
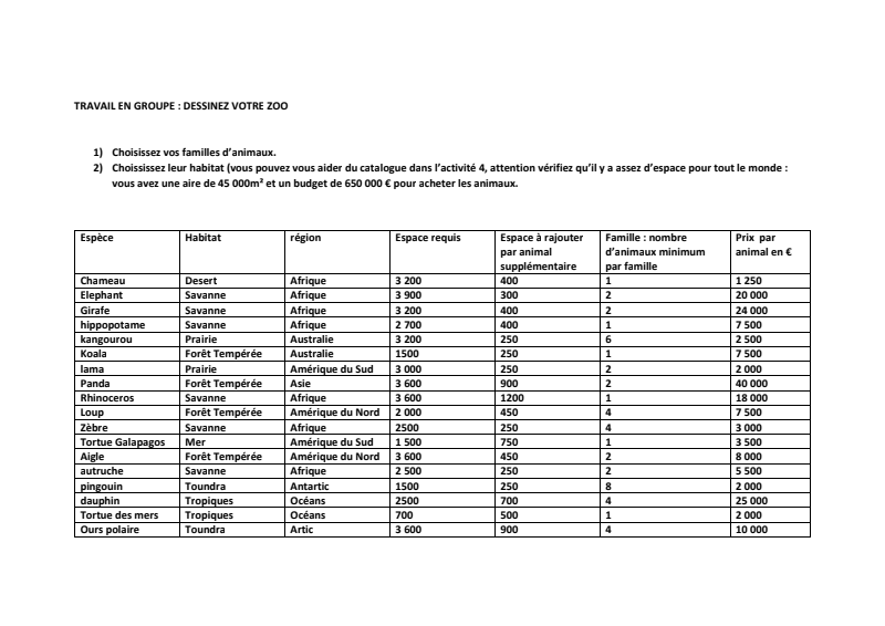
4) Choisis Ton Habitat